clip image001 НОВОРОССИЙСКАЯ ГОРОДСКАЯ ОРГАНИЗАЦИЯ
ПРОФЕССИОНАЛЬНОГО СОЮЗА НАРОДНОГО ОБРАЗОВАНИЯ И НАУКИ РФ
 


  • ГЛАВНАЯ
  • О НАС
    • О ПРОФСОЮЗЕ
    • АППАРАТ ПРОФСОЮЗА
    • ДОКУМЕНТЫ
  • СМИ О НАС
  • ДЕЯТЕЛЬНОСТЬ
    • ПРЕДСЕДАТЕЛЯМ ППО
    • ОХРАНА ТРУДА
    • МОЛОДЕЖНАЯ ПОЛИТИКА
    • СОЦИАЛЬНОЕ ПАРТНЕРСТВО
  • ИНФОРМАЦИЯ
    • ИНФОРМАЦИОННЫЙ БЮЛЛЕТЕНЬ
    • ПРАВОВАЯ ИНФОРМАЦИЯ
    • ТРУДОВОЕ ПРАВО
    • ПФР НОВОСТИ
    • БИБЛИОТЕКА
  • МЕРОПРИЯТИЯ
    • КОНКУРСЫ
    • СОБЫТИЯ
    • АКЦИИ
  • КОНТАКТЫ
ГлавнаяДОКУМЕНТЫ ПРОФСОЮЗНОЙ ОРГАНИЗАЦИИЗАРАБОТНАЯ ПЛАТА ОБРАЗОВАТЕЛЬНЫХ ОРГАНИЗАЦИЙ /ПО ИТОГАМ 1 КВАРТАЛА 2023
Attachments:
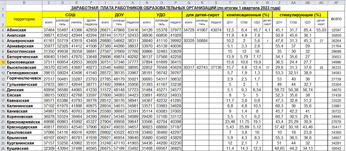
Download this file (zarab.plata_1kv_2023.jpg)Заработная плата образовательных организаций на 1 квартал 2023 г (часть 1)580 kB235 Downloads2023-07-12 09:53
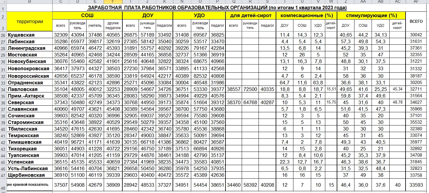
Download this file (zarab.plata_2kv_2023.jpg)Заработная плата образовательных организаций на 1 квартал 2023 г (часть 2)590 kB181 Downloads2023-07-12 09:53
< Назад Вперед >

01 2020 01 28 12 10 26

epb01

diplom ms

Ссылки

ОБЩЕРОССИЙСКИЙ ПРОФСОЮЗ ОБРАЗОВАНИЯ


КРАСНОДАРСКАЯ КРАЕВАЯ ОРГАНИЗАЦИЯ ОБЩЕРОССИЙСКОГО ПРОФСОЮЗА ОБРАЗОВАНИЯ

Самое новое:

  • СПРАВКА О ВЫПОЛНЕНИИ ОТРАСЛЕВОГО СОГЛАШЕНИЯ ЗА 2025 ГОД
  • О проведении Школы молодого педагога и Школы правовой грамотности
  • Активно участвуем во Всероссийской акции профсоюзов «За достойный труд наставников»
  • СПРАВКА О ВЫПОЛНЕНИИ ОТРАСЛЕВОГО СОГЛАШЕНИЯ ЗА 2022 - 2024 ГОД
  • Бонусная программа

Популярное:

  • Внимание председателям ППО!
  • ВНИМАНИЕ: Россиян предупредили о новом виде мошенничества
  • ВНИМАНИЕ! Путёвки в ПЦ "Рассвет" 2019г.
  • СЕМИНАР УПОЛНОМОЧЕННЫХ ПО ОТ
  • ВНИМАНИЕ! Консультация специалиста ПФ
2020 Новороссийск